Form AT-160 / CD-140, Undertaking by Personal Sureties Completed Form Examples and Samples
View practical examples and samples of Form AT-160 / CD-140, Undertaking by Personal Sureties. Learn how to accurately fill out this California legal form with our step-by-step guides and data extraction templates.
Example: Filling Form AT-160 / CD-140 Undertaking by Personal Sureties
How this form was filled:
This example demonstrates how an AI assistant can extract complex legal data from an attorney's internal case memo to populate the California Form AT-160 / CD-140. By analyzing the narrative, the AI accurately maps parties, surety qualifications, and procedural requirements to the correct form fields, saving legal staff significant time in drafting documents.
Source document used: Attorney's Internal Case Memo
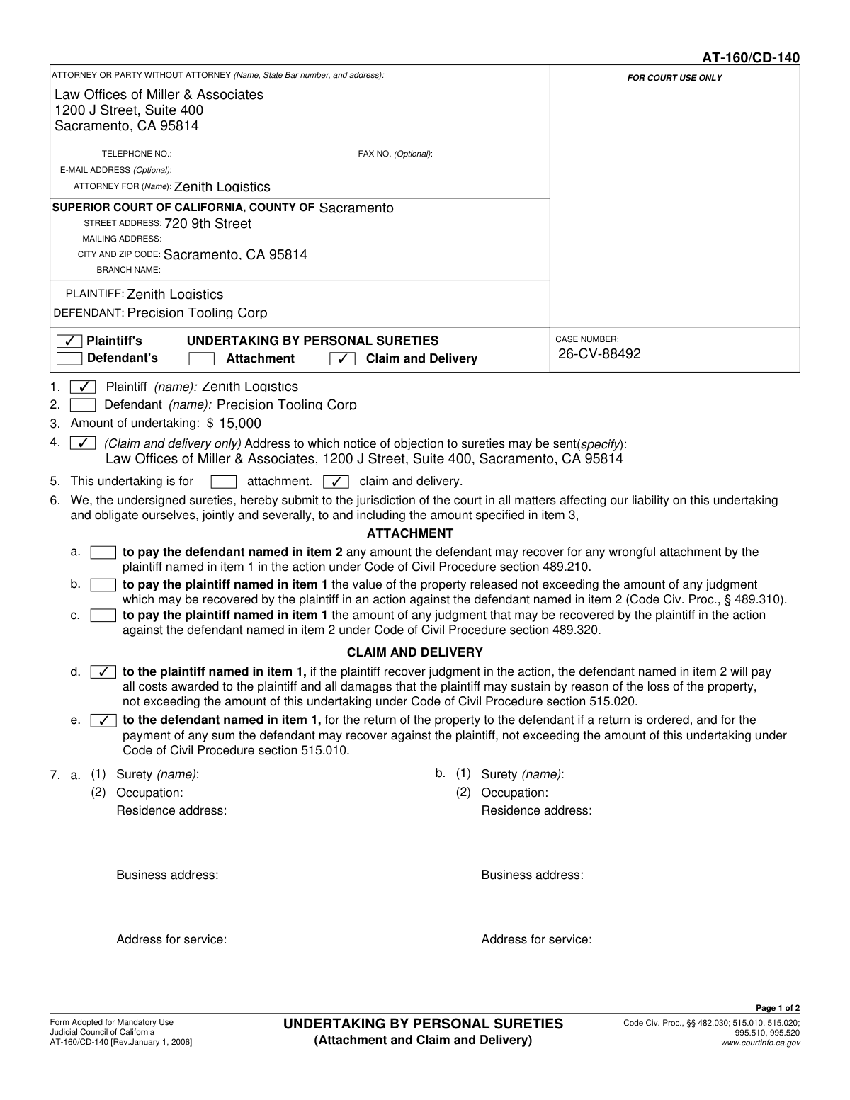
Memorandum to File: Re-Case #26-CV-88492. Regarding our pending litigation of Zenith Logistics v. Precision Tooling Corp, we are proceeding with a Claim and Delivery action. To secure the return of the proprietary machinery, we have secured two personal sureties. Sarah Jenkins, who works as a General Contractor residing at 442 Oak Street, Sacramento, CA 95814, has agreed to act as the primary surety. She is a homeowner and is pledging her property at 442 Oak Street (Estimated value $650,000) which has a remaining mortgage lien of $210,000. Additionally, Robert H. Miller, a retired Engineer living at 9920 Bluebird Way, Citrus Heights, CA 95610, will serve as the second surety. He is also a property owner. The total undertaking amount is set at $15,000. All notices of objection to these sureties should be directed to my office at Law Offices of Miller & Associates, 1200 J Street, Suite 400, Sacramento, CA 95814. Please ensure the court filing reflects our office as the party representing the plaintiff, Zenith Logistics. The Superior Court of California for Sacramento County, located at 720 9th Street, Sacramento, CA 95814, is the venue for these proceedings. Note that these sureties are qualified under CCP 515.020 for the protection of property return during the claim and delivery process. Please prepare the documents for signature by March 15, 2026.
Information used to fill out the document:
- Case Identification: 26-CV-88492, Zenith Logistics v. Precision Tooling Corp
- Undertaking Details: Claim and Delivery, Amount: $15,000
- Court Location: Superior Court of California, County of Sacramento, 720 9th Street, Sacramento, CA 95814
- Surety 1: Sarah Jenkins, Contractor, 442 Oak St, Sacramento, CA 95814
- Surety 2: Robert H. Miller, Engineer, 9920 Bluebird Way, Citrus Heights, CA 95610
- Objection Notice Address: 1200 J Street, Suite 400, Sacramento, CA 95814
What this filled form sample shows:
- Context-aware extraction from prose narrative
- Automatic mapping of roles (Plaintiff/Defendant)
- Calculated identification of conditional form logic based on amount > $5,000
- Extraction of specific statutory references
- Consolidation of disparate address formats into standardized form fields
Form specifications and details:
| Form Name: | AT-160 / CD-140 Undertaking by Personal Sureties |
| Jurisdiction: | Superior Court of California |
| Primary Use Case: | Claim and Delivery Proceedings |
| Key Legal Standard: | California Code of Civil Procedure 515.020 |
| Target Audience: | Legal professionals, paralegals, and litigants without counsel |
| Created: | April 03, 2026 10:07 AM |