Judicial Council of California Form DE-111, Petition for Probate (Probate—Decedents Estates) Completed Form Examples and Samples
View completed examples and samples of the Judicial Council of California Form DE-111, Petition for Probate. Our filled-out DE-111 forms help you understand how to correctly file a petition for a decedent's estate in California.
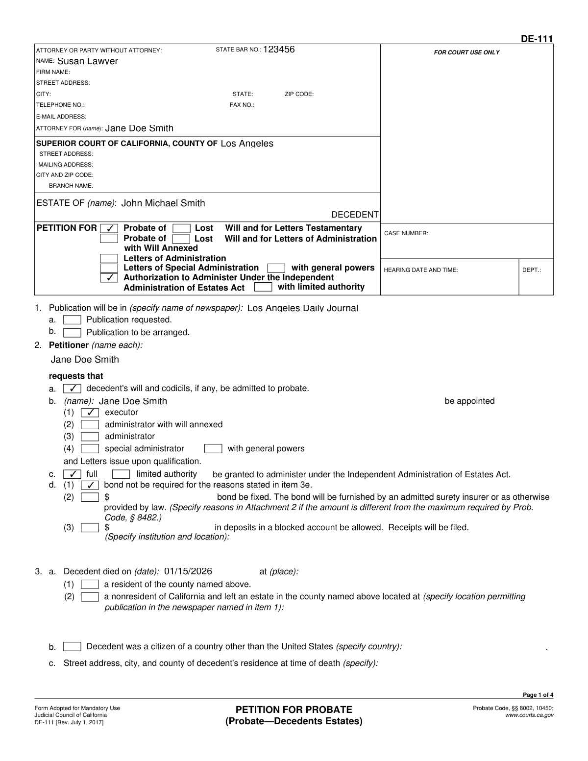
California Form DE-111 Petition for Probate Example: Surviving Spouse with a Will
How this form was filled:
This is a sample of a completed Form DE-111, Petition for Probate. In this example, the surviving spouse is petitioning to be appointed as the executor of her late husband's estate, as nominated in his will. The petition requests full authority to administer the estate under the Independent Administration of Estates Act (IAEA) and notes that the will waives the bond requirement.
Information used to fill out the document:
- Petitioner's Name: Jane Doe Smith
- Petitioner's Relationship to Decedent: Surviving Spouse
- Petitioner's Attorney: Susan Lawyer, SBN 123456
- Decedent's Name: John Michael Smith
- Date of Death: January 15, 2026
- County of Filing: Los Angeles
- Publication Requested In: Los Angeles Daily Journal
- Petition For: Probate of Will and for Letters Testamentary
- Executor Named in Will: Jane Doe Smith
- Authority Requested: Full authority under the Independent Administration of Estates Act (IAEA)
- Bond Requirement: Waived in the will
- Estimated Value of Personal Property: $250,000
- Estimated Value of Real Property in California: $800,000
- Estimated Annual Gross Income from Real Property: $40,000
- Heir 1: Robert Smith (Adult Son)
- Heir 2: Mary Jones (Adult Daughter)
- Date of Will: May 10, 2020
What this filled form sample shows:
- Petitioning for Probate of Will and for Letters Testamentary (Item 3a(1)).
- Requesting full authority to administer the estate under the Independent Administration of Estates Act (IAEA) (Item 2).
- Accurately listing all known heirs and beneficiaries as required by law (Item 8).
- Providing a detailed estimation of the estate's value to determine bond requirements and court fees (Item 5).
- Indicating that the will waives the bond requirement for the named executor (Item 3e(2)).
Form specifications and details:
| Form Name: | Judicial Council of California Form DE-111, Petition for Probate (Probate—Decedents Estates) |
| Use Case: | Surviving spouse with a will, nominated as executor, seeking full IAEA authority. |
| Jurisdiction: | Superior Court of California |
| Categories: | California judicial forms, California probate forms, California state forms, estate forms, Judicial Council forms, NJ state forms, PA state forms, probate forms, state ID forms |
| Created: | February 03, 2026 06:04 AM |